【华源原创】从专利角度看,镁铝合金在汽车轻量化中的应用
时间: 2022-03-22 10 北京康信华源知识产权咨询有限公司 刘铖 柯婷婷 阅读量:

汽车的轻量化,就是在保证汽车的强度和安全性能的前提下,尽可能地降低汽车的整备质量,从而提高汽车的动力性,减少燃料消耗,降低排气污染。由于全社会对环保和节能的日益重视,汽车的轻量化已经成为世界汽车发展的潮流。


1、镁铝合金是汽车轻量化的主要措施


1.1   镁铝合金汽车轻量化应用技术专利申请活跃


钢铁一直是汽车生产中使用最多的材料。而铝的密度大约是钢的1/3,镁是1/4。且二者还具有热导率高、耐腐蚀好、加工性能优良、阻尼减振、容易回收等优点。因此采用镁合金、铝合金等轻质材料替代钢铁,是最为可行也是当前应用最广的措施。



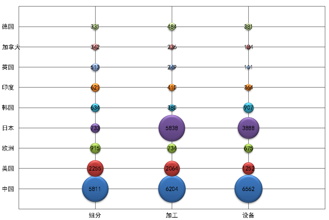
这一点从镁铝合金汽车轻量化应用技术的专利申请趋势也得到了充分的表现(下图),近十年来相关专利申请量快速增长。

图片

上图还同时从产业链的角度显示了镁铝合金汽车轻量化应用技术三个环节的专利发展趋势。三个环节分别为材料组分、材料和部件加工和专用设备。

全球相关专利中加工、设备分支的专利申请总量较多,分别占40%和27%,且在近几年出现明显的增长,是该领域研发热度最高的技术方向。相对地,铝镁合金组分的相关专利在早期较多,呈现相对稳定的申请量,但近几年鲜有布局。这说明本领域目前的研发活动主要集中在产品应用方向,进入了产业发展的活跃阶段。

1.2  各国铝镁合金汽车轻量化应用技术的发展侧重不同

图片

中国、美国和日本是整个铝镁合金领域研发活动最为活跃和市场最受关注的地区。

我国在三个领域的专利数量均排名第一。我国在《新材料产业发展指南》中,将应用于节能与新能源汽车的高强铝合金和高强韧镁合金列为了先进有色金属材料的重点发展方向之一。同时也纳入了新材料产业中先进基础材料的范畴。极大地促进了铝镁合金汽车轻量化应用技术的发展。

日本汽车历来重视轻量化问题。在加工和设备两个贴近产业应用的领域投入较多。相比之下,美国的专利分布正好相反,材料组分的专利相对较多,加工和设备偏少。可以推断美国在轻量化的产业应用方面相对较少,反应在产品上就给了人们一种美国车“又重又大”的印象。

2、镁合金是最具发展潜力的汽车轻量化材料

2.1   加工难度限制了镁合金材料的应用

镁合金较铝合金的密度更低,约为2/3,且材料性能方面拥有更多的优点。如阻尼减振、散热性好和容易回收等,是被公认最具发展潜力的汽车轻量化材料,是未来汽车轻量化材料的发展方向。但由于镁合金成型技术的难度较大,导致应用范围较铝合金还较小。目前,镁合金的成型主要依靠铸造技术,尤其是压铸技术。但是,压铸设备昂贵、生产成本高,且铸造和压铸的普遍缺陷为缩孔和疏松,这些缺陷降低了镁合金的力学性能,极大地限制了镁合金的应用。

2.2   挤压成型是提高镁合金应用范围的关键技术

鉴于塑性变形能够提高镁合金的综合力学性能,近年来,挤压、锻造、超塑性成型等成型技术逐渐在镁合金产品上应用。尤其是挤压成型在有色金属加工过程中,是一种高效、优质、低消耗的精密成型技术。全球相关专利近十几年来的快速增长(下图)反映了业界对这一技术关注度的提高。

图片

从技术演进来看(下图),镁合金挤压成型技术的研发主要是围绕着工艺改进和原材料改进两条路线发展的。

图片

工艺改进方面,早期主要是减少模具工装和设备且降低成本的挤压工艺技术。例如,专利CN1478917A公开了挤压工艺参数优化,获得准晶增强快速凝固高强度变形镁合金的方案。专利CN101234401A提出对具有密排六方晶格的塑性较低的镁合金,通过挤压获得的三向 压应力状态有利于提高材料塑性的方案。近年来,为了解决镁合金密排流放结构、变形能力差的技术问题,工艺改进逐渐侧重于如何细化镁合金晶粒,提高材料强度和塑性。例如,专利CN106148777A公开了通过合金液浇注至模具中快速冷却,细化组织的方案。专利CN107081341A提出通过挤压坯料的两次加热和小挤压比中低温快速挤压细化组织。

原材料改进方面,主要针对常用商用变形镁合金Mg-Al-Zn系合金的组分改进(例如专利CN1876871A),以及通过加入微量合金元素(例如专利CN103526090A)或稀土(例如专利CN103215481A)等成分进行镁合金组分改进。

我国汽车单车用镁量的规划计划在2030年达到45kg。发展镁合金挤压成型技术对扩大镁合金在汽车生产中的应用范围将起到关键作用。可以使仪表盘支架、轮毂、大灯支架、离合器壳体、曲轴箱等各类壳体类、支架类部件逐步实现镁合金材料的替代,进一步降低汽车的质量,更好地实现节能减排,提高市场竞争力。同时也契合了我国提出的碳中和、碳达峰战略目标。


关键词: 汽车专利,专利,专利申请,专利数据,知识产权
康信·华源: 北京康信华源知识产权咨询有限公司是国内大型知识产权咨询公司,专注于专利挖掘及布局策划、技术研发咨询、 专利风险预警及应急救助 、知识产权许可、转让、知识产权战略策划等项目,为客户提供专业的综合法律、技术、管理的解决方案。
咨询电话: 010-56571586
closeBox_03
返回顶部图标 分享

关注我们

WeChat